Robin Waddell
11 February 1945
– 26 April 2024
Close
Funeral Order of Service
Eulogy
Book of Condolence
Close
OrnaVerum
v 7.00.00
23 Jan 2024
updated 23 Jan 2024
Special Announcement
Special Announcement
Toggle main menu visibility
Home
About
Personal
Education
Oddments
Soapbox
Cranky
Quirky
Website
Musicale
Academic
Dedication
Manuscripts
Postgrad
Postdoc
Further Links
Publications
Postgrad
Postdoc
Programs
Postgrad
Postdoc
Family
Dedication
Connections
Extras
Number
Philosophers
Epilogue
Contact
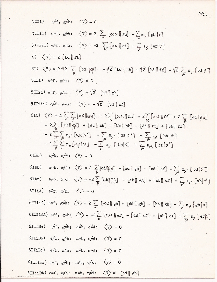
Manuscripts - postgrad
-
Chapter 6: Exciton theory and vibronic states of dimers
- Page 265: Electronic States (I) (continued)
<< Previous
Jump to...
Next >>
©
ornaverum.org All rights reserved